注册
登录
首页
协会概况
新闻中心
协会工作
行业信息
机构设置
专家库
会员服务
党建之窗
下载中心
公告通知
协会要闻
协会期刊
专家专访
项目品鉴
黄页
众志成城抗疫情
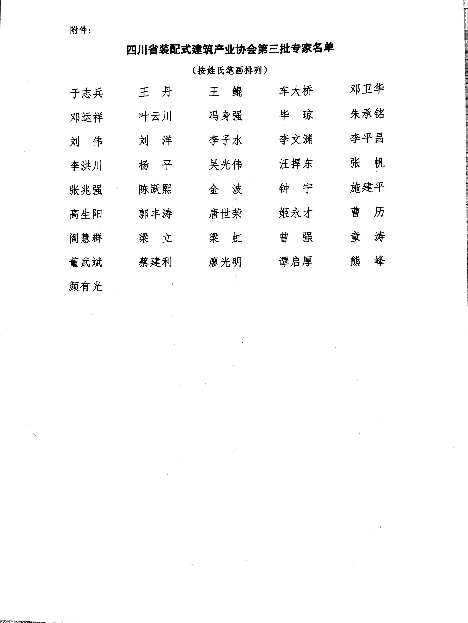
关于聘任于志兵、王丹、王鲲等41人为第三批专家的通知
时间:2018-03-27 来源:本站
上一条:四川省装配式建筑产业协会2018年工作报告
下一条:关于表彰2017年度四川省装配式建筑产业协会优秀联络员的通报
返回列表